티스토리 뷰
벡터 내적 : 1차원 x 1차원
가장 기본적인 경우로, 두 개의 input array가 모두 1차원 벡터인 경우입니다.
이 경우, element-wise 방식으로 각 원소를 곱한 값들을 더한 내적 연산을 수행합니다.
import numpy as np
# 1차원 x 1차원
a = np.array([1, 3, 5])
b = np.array([4, 2, 1])
np.dot(a, b)
# 결과 : 15

참고로, 아래처럼 양쪽 array의 원소 개수가 불일치한다면, ValueError가 발생합니다.
고차원의 dot 연산에서도 곱할 element의 원소 개수가 일치하는지 꼭 체크해주세요.
# 양쪽 array의 원소 개수 불일치
a = np.array([1, 3, 5])
b = np.array([4, 2, 1, 4])
np.dot(a, b) # ValueError: shapes (3,) and (4,) not aligned: 3 (dim 0) != 4 (dim 0)
행렬곱 : 2차원 x 2차원
양쪽 input array가 모두 2차원인 경우, 행렬곱이 수행됩니다.
이 경우, @를 이용한 연산 혹은 np.matmul 함수와 사용법이 동일합니다.
numpy 공식 문서에서는 np.matmul 혹은 @을 사용하는 것을 권장하고 있습니다.
# 2차원 x 2차원
a = np.array([[1, 3], [2, 4]])
b = np.array([[1, 6], [3, 0]])
np.dot(a, b)
# a @ b, np.matmul(a, b)와 결과 동일, dot 미사용 권장
# 결과
array([[10, 6],
[14, 12]])

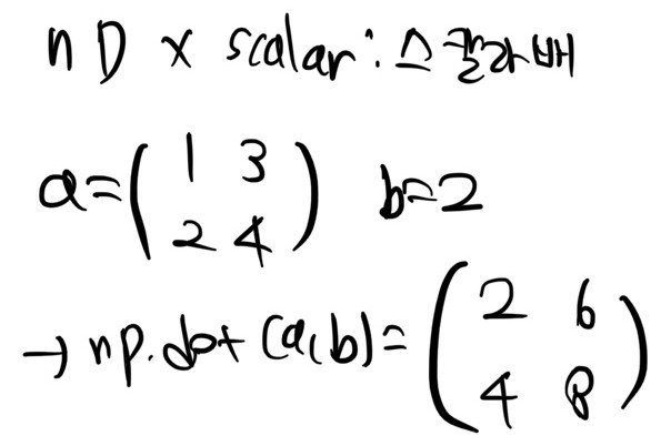
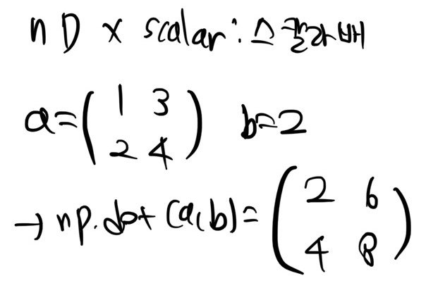
스칼라배 : n차원 x 스칼라
한쪽이라도 스칼라 element(0차원)이 들어오면,
단순 스칼라배 연산이 수행됩니다.
이 경우도 마찬가지로, *를 이용한 연산 혹은 np.multiply 함수를 이용한 결과와
동일하며, np.dot 함수를 사용하지 않는 것을 권장하고 있습니다.
# n차원 x 스칼라
a = np.array([[1, 3], [2, 4]])
b = 2
np.dot(a, b)
# a * b, np.multiply(a, b)와 결과 동일, dot 미사용 권장
# 결과
array([[2, 6],
[4, 8]])

다차원 내적 : n차원 x 1차원
다소 복잡한 경우로 볼 수 있는데,
한 쪽의 element가 n차원, 반대 쪽의 element가 1차원인 경우입니다.
이 경우, 왼쪽이 n차원인 경우 각 행마다 오른쪽의 벡터와 내적을 수행합니다.
만일 오른쪽이 n차원이면 각 열마다 왼쪽의 벡터와 내적을 수행할 것입니다.
# n차원 x 1차원
a = np.array([[1, 3], [2, 4]])
b = np.array([2, 5])
np.dot(a, b)
# 결과
array([17, 24])

1차원 x n차원인 경우는 a 성분의 각 열을 가지고 b 벡터와 내적을 수행한
결과도 비교해보시면 좋을 듯 합니다.
# 1차원 x n차원
a = np.array([[1, 3], [2, 4]])
b = np.array([2, 5])
np.dot(b, a)
# 결과
array([12, 26])
1 * 2 + 2 * 5 = 12,
3 * 2 + 4 * 5 = 26이 등장한 결과를 봐두시면 이해가 쉬울 것으로 생각됩니다.
다차원 행렬곱 : n차원 x m차원
가장 복잡한 경우의 dot 함수 사용 예시입니다.
왼쪽 array의 last axis, 오른쪽 array의 second last axis 끼리 곱한다고 되어있지만,
쉽게 설명하면 왼쪽 array의 각 행, 오른쪽 array의 각 열끼리
순서대로 내적을 수행한 결과를 반환하는 의미로 생각해두시면 좋습니다.
# n차원 x m차원(m >= 2)
a = np.array([[1, 3], [2, 4]])
b = np.array([[[1, 1], [0, 1]], [[0, 0], [0, 0]]])
np.dot(a, b)
# 결과
array([[[1, 4],
[0, 0]],
[[2, 6],
[0, 0]]])

위의 예시를 살펴보면, a의 첫 번째 행에 b의 각 열을 순서대로 내적시킨 결과를
먼저 첫 번째 행렬에 담고, 이어서 a의 두 번째 행에 b의 각 열을 마찬가지로
차례대로 내적한 결과를 두 번째 행렬에 담은 것을 확인할 수 있습니다.
'프로그래밍 > Python' 카테고리의 다른 글
| [Numpy] 배열의 평균 (mean) (0) | 2022.11.17 |
|---|---|
| 백준 11866 요세푸스 문제 0 (파이썬) (0) | 2022.09.22 |
| 백준 2231 분해합 (파이썬) (0) | 2022.09.20 |
| 백준 1065 한수 (파이썬) (0) | 2022.09.14 |
| 백준 2839 설탕 배달 (파이썬) (0) | 2022.09.13 |